According to IEEE 100, A switchgear is a general term covering switching and interrupting devices and their combination with associated control, instrumentation, metering, protective and regulating devices, also assemblies of these devices with associated interconnections, accessories and supporting structures used primarily in connection with the generation, transmission, distribution, and conversion of electric power.
The definition of IEEE 100 state the composition of a switchgear and its major components.
Major Components of Switchgear
- Switching and interrupting devices, such as Circuit Breakers (Vacuum, Air, etc.), Load Break Switch
- Control devices such as Control Switch (On and Off operation), Selector Switch (Auto and Manual Operation), Pushbutton Switch (Reset), etc.
- Instrumentation devices such as Instrument Transformers (Current Transformers and Potential Transformers)
- Metering devices such as Digital Meter, Revenue Meter, Ammeter, Voltmeter, etc.
- Protective and Regulating Devices such as Protection relays (Overcurrent Relay, Under/ Overvoltage Relay, etc)
- Other accessories such as Indicating lamps (On, Off, Trip) Control Fuses, Curret and Potential Test Terminal, Battery and Charger, Space Heater, Hygrostat, etc.)
Common System Voltage in the Philippines
- 34.5kV
- 24kV
- 22kV
- 13.8kV / 13.2kV
- 6.6kV
- 4.16kV
- 400 / 230V
Maximum Rating/ Setting of Overcurrent Protection for Transformers

Refer to NEC Table 450.3(A) or PEC Table 4.50.1.3(a) when sizing Overcurrent Protection for Transformers rated above 1000 Volts. While refer to NEC Table 450.3(B) or PEC Table 4.50.1.3(b) when sizing Overcurrent Protection for Transformers rated below 1000 Volts.

If no data yet, consider “Supervised” and “Any” for Transformer impedance for good estimation.
- VCB AMPACITY RATING = FLA x 300%
Standard VCB Ampacity Rating available in the market is 630A and 1250A.
- Fuse of LBS Ampacity Rating = FLA x 250%
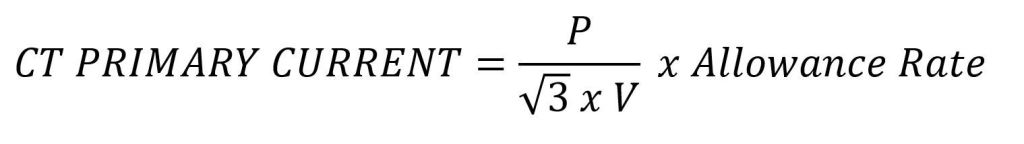
Selection of Current Transformer (CT)
This is the rule of thumb in selecting current transformer for metering and protection relay at MVSG and HVSG:

CT primary current equals full load current of the system multiplied by the allowance rate:
For motor loads, 1.5 ~ 2.5 times;
For transformers, 1.5 ~ 2 times;
For general loads, 1.5 times
LV ACB Sizing
Rating of LV ACB = 125% of Full load current
CT rating is same as Main ACB rating.
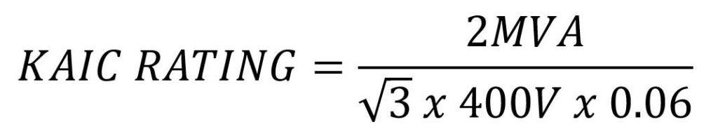
KAIC RATING SIZING
Rule of thumb in sizing KAIC rating:

Sample: Consider a 3-phase bolted fault, 2MVA Transformer with 6% impedance. Find KAIC at LV side (400V).

KAIC RATING = 48,169.55A
Therefore, use 50KAIC as per availability in the market based on Table 67.1 of UL489-1994